🌟 Introduction
In data analysis and inferential statistics, we often want to test hypotheses about population means — for example:
- Do two groups differ significantly in their average income?
- Does a new fertilizer increase crop yield compared to the previous one?
- Are the exam scores of two classes statistically different?
To answer such questions, we use statistical hypothesis testing, and two of the most commonly used tools are the t-test and z-test.
Though both serve similar purposes — testing differences in means — they differ in sample size, data variance knowledge, and underlying assumptions.
🎯 What Are Hypothesis Tests?
Hypothesis testing helps us make decisions about a population based on sample data.
We start with:
- Null Hypothesis (H₀): No difference or effect exists.
- Alternative Hypothesis (H₁): There is a significant difference or effect.
We then calculate a test statistic (like t or z) to determine whether to reject H₀.
⚖️ Difference Between t-Test and Z-Test
| Feature | t-Test | Z-Test |
|---|---|---|
| Population standard deviation (σ) | Unknown | Known |
| Sample size (n) | Small (n < 30) | Large (n ≥ 30) |
| Distribution used | t-distribution | Normal (z) distribution |
| Use case | Compare means when σ unknown | Compare means when σ known |
| Example | Comparing two classroom averages | Comparing a sample mean to population mean |
💡 Tip: When in doubt and σ is unknown (which is common in real life), use the t-test.
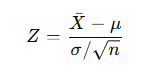
🧮 The Formulas
Z-Test Formula:

Where:
x̄: Your sample meanμ: The known population meanσ: The known population standard deviationn: Your sample size
t-Test Formula:

Where:
- s = sample standard deviation (since σ is unknown)
📊 Types of t-Tests
| Type | Used When | Example |
|---|---|---|
| One-sample t-test | Comparing a sample mean to a known population mean | Is the average yield from a new crop variety = 40 kg/acre? |
| Independent two-sample t-test | Comparing means of two independent groups | Do male and female students differ in average scores? |
| Paired sample t-test | Comparing two related groups (before-after) | Did training improve employee productivity? |
The t-Test
In the real world, you rarely know the population standard deviation (σ). You only have your sample to work with. The t-test is the modern solution to this problem, using the sample standard deviation (s) instead.
When to Use a t-test:
- Your sample size is small (typically n < 30).
- You do not know the population standard deviation (σ).
- Your data is (approximately) normally distributed.
The t-test accounts for the extra uncertainty introduced by estimating σ from the sample. This makes its distribution (the t-distribution) slightly wider and flatter than the normal Z-distribution.
The t-Test Statistic Formula (One-Sample):t = (x̄ - μ) / (s / √n)
s: The sample standard deviation
Solved Example: The New Drug Trial
A pharmaceutical company claims its new drug reduces cholesterol by an average of 30 points (the known population mean for the old drug). A small clinical trial with 15 patients uses the new drug. The sample mean reduction is 35 points with a sample standard deviation of 8 points. Test if the new drug is more effective at α = 0.05.
Step 1: State the Hypotheses
- H₀: The new drug is not more effective. μ = 30 points.
- H₁: The new drug is more effective. μ > 30 points. (One-tailed test)
Step 2: Calculate the t-Test Statistic
We have:
x̄= 35 pointsμ= 30 pointss= 8 pointsn= 15
t = (35 - 30) / (8 / √15) = (5) / (8 / 3.873) = 5 / 2.066 ≈ 2.420
Step 3: Find the Critical Value and Make a Decision
We need the critical value from the t-distribution table.
- Degrees of Freedom (df):
df = n - 1 = 15 - 1 = 14 - Significance Level (α): 0.05 for a one-tailed test.
The critical t-value for df=14 and α=0.05 (one-tailed) is 1.761.
Decision Rule: If our t-statistic is greater than the critical value, we reject the null hypothesis.
- Our t (2.420) > Critical t (1.761)
Step 4: Conclusion
We reject the null hypothesis. There is sufficient evidence to conclude that the new drug leads to a greater average reduction in cholesterol than the old drug.
📘 Example 1: One-Sample Z-Test
Scenario:
A tea factory claims that the average weight of tea packets is 250g.
A consumer group randomly samples 36 packets and finds the mean weight = 245g, with σ = 12g.
Test at 5% significance if the claim is valid.
Step 1:
H₀: μ = 250
H₁: μ ≠ 250
Step 2:
Given:

Step 3: Compute Z-statistic

Step 4:
At α = 0.05 (two-tailed), critical Z = ±1.96
Step 5:
Since |−2.5| > 1.96 → Reject H₀
✅ Conclusion: The mean weight differs significantly from 250g; the claim is not valid.
📗 Example 2: One-Sample t-Test
Scenario:
A farmer believes the average yield of his farm is 60 kg per acre.
From a sample of 16 plots, the mean yield is 58 kg, and the sample standard deviation is 4 kg.
Test the farmer’s claim at 5% significance.
Step 1:
H₀: μ = 60
H₁: μ ≠ 60
Step 2:
Given:x̄=58, μ=60, s=4, n=16
Step 3: Compute t-statistic

Step 4:
Degrees of freedom (df) = n − 1 = 15
From t-table at α = 0.05, two-tailed, critical t = ±2.131
Step 5:
|−2| < 2.131 → Fail to reject H₀
✅ Conclusion: The farmer’s claim is valid; there’s no significant difference from 60 kg/acre.
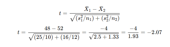
📘 Example 3: Independent Two-Sample t-Test
Scenario:
You want to know if two fertilizers (A and B) yield different average outputs.
| Fertilizer | Mean Yield (kg/acre) | Sample Size | Std. Dev. |
|---|---|---|---|
| A | 48 | 10 | 5 |
| B | 52 | 12 | 4 |
Test at 5% significance.
Step 1:
H₀: μ₁ = μ₂
H₁: μ₁ ≠ μ₂
Step 2:

Step 3:
df ≈ n₁ + n₂ − 2 = 20
Critical t = ±2.086
Step 4:
|−2.07| < 2.086 → Fail to reject H₀
✅ Conclusion: There is no significant difference between Fertilizer A and B yields.
📘 Example 3: Paired Sample t-Test
Scenario: A coach wants to know whether a 4-week training program improved athletes’ sprint times. Eight athletes’ 100-m times (in seconds) were recorded before and after the program.
Data
| Athlete | Before (s) | After (s) |
|---|---|---|
| 1 | 85 | 88 |
| 2 | 78 | 82 |
| 3 | 90 | 93 |
| 4 | 72 | 75 |
| 5 | 88 | 90 |
| 6 | 76 | 79 |
| 7 | 95 | 97 |
| 8 | 80 | 82 |
(Here “After − Before” is positive when the score increased — use whichever direction is meaningful for your context.)
Step 1 — State hypotheses
We’ll test whether the training changed (here increased) the scores.

We’ll use a two-tailed test at α=0.05.
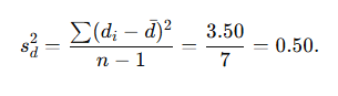
Step 2 — Compute differences and summary statistics
Compute differences di=After−Before:
d = [3, 4, 3, 3, 2, 3, 2, 2]

Now compute the sample standard deviation of the differences sd
Deviations from mean and squared deviations:

Sample variance of differences:

Sample standard deviation:

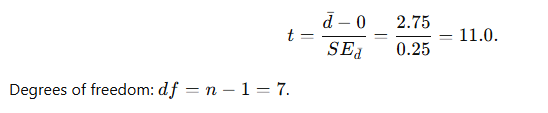
Standard error of the mean difference:

Step 3 — Compute the t statistic

Step 4 — Decision (compare with critical value)

Since computed t=11.0t = 11.0t=11.0 is much larger than 2.365, we reject H₀ .
Conclusion: There is strong statistical evidence that the training program changed the athletes’ scores (here, the mean score increased by 2.75 units). The result is highly significant (p ≪ 0.01).
Step 5 — Effect size (optional but useful)

which is an extremely large effect — indicating a large practical change as well as statistical significance.
Assumptions reminder
Paired t-test assumes:
- The differences did_idi are a random sample and observations are paired/related.
- The distribution of differences is approximately normal (for small nnn). With n=8n=8n=8 it’s good to check a histogram or normality test; with larger nnn the t-test is robust.
Short interpretation
In this example the average improvement after training was 2.75 units (SD of differences = 0.71). The paired t-test yields t(7)=11.00, p<0.001. We therefore reject the null hypothesis and conclude the training produced a statistically significant improvement — also a very large practical effect (Cohen’s d ≈ 3.9d).
The Z-Test
The Z-test is the older, more straightforward test. It’s used when you have a clear, stable understanding of the “noise” in the entire population.
When to Use a Z-test:
- Your sample size is large (typically n > 30).
- You know the population standard deviation (σ).
- Your data is (approximately) normally distributed.
The Z-Test Statistic Formula:
The formula varies slightly depending on what you’re comparing.
- One-Sample Z-test (Comparing a sample mean to a population mean):
Z = (x̄ - μ) / (σ / √n)x̄: Your sample meanμ: The known population meanσ: The known population standard deviationn: Your sample size
Solved Example: The Soda Bottling Plant
A soda bottling plant claims its bottles are filled with 500 ml of liquid. The population standard deviation is known from the machinery specs to be 2 ml. A quality inspector takes a random sample of 35 bottles and finds an average fill of 499.2 ml. Test if the machine is under-filling at a significance level of 0.05.
Step 1: State the Hypotheses
- Null Hypothesis (H₀): The machine is not under-filling. μ = 500 ml.
- Alternative Hypothesis (H₁): The machine is under-filling. μ < 500 ml. (This is a one-tailed test)
Step 2: Calculate the Z-Test Statistic
We have:
x̄= 499.2 mlμ= 500 mlσ= 2 mln= 35
Z = (499.2 - 500) / (2 / √35) = (-0.8) / (2 / 5.916) = (-0.8) / 0.338 ≈ -2.366
Step 3: Find the Critical Value and Make a Decision
For a one-tailed test at α = 0.05, the critical Z-value from the table is -1.645.
Decision Rule: If our Z-statistic is less than the critical value, we reject the null hypothesis.
- Our Z (-2.366) < Critical Z (-1.645)
Step 4: Conclusion
We reject the null hypothesis. There is sufficient evidence at the 0.05 significance level to conclude that the machine is under-filling the bottles.
📊 Decision Rules Summary
| Test | Condition | Decision Rule |
|---|---|---|
| Z-Test | σ known, n ≥ 30 | Reject H₀ if |
| t-Test | σ unknown, n < 30 | Reject H₀ if |
Pro Tip: When your sample size is very large (n > 100), the t-distribution becomes almost identical to the normal Z-distribution. So, for large samples, even if you don’t know σ, you can often use a Z-test as a close approximation. However, statistical software will almost always use a t-test by default when σ is unknown.
🧠 Interpretation Tips
- A large |t| or |Z| value → stronger evidence against H₀.
- Always check p-values (probability of observing results if H₀ true).
- Smaller p-value (< 0.05) → significant difference.
- Report results as: “The mean yield was significantly higher for Fertilizer B (t(20)=2.07, p<0.05).”
Summary: Your Decision Flowchart
- Start by asking: What am I comparing?
- One sample mean to a population mean? -> Use a one-sample test.
- Two independent group means? -> Use an independent two-sample test.
- The same group at two different times? -> Use a paired sample test.
- For any of these, ask: Do I know the population standard deviation (σ)?
- YES -> Use a Z-test.
- NO -> Use a t-test. (This will be the case 99% of the time).
By understanding the “why” behind these tests, you can confidently choose the right tool to determine if the differences you see are real or just a trick of the light. Now go forth and test your hypotheses
🧮 Tools for Performing Tests
- Excel:
=T.TEST(range1, range2, tails, type) - Python:
scipy.stats.ttest_ind()orttest_rel() - R:
t.test() - SPSS / Minitab / RStudio – user-friendly for non-coders
📚 Further Reading
- Statistics for Business and Economics – Paul Newbold
- Khan Academy: Hypothesis Testing
- Towards Data Science: t-tests Explained
- Practical Statistics for Data Scientists – Peter Bruce & Andrew Bruce









Leave a comment